have you booked and rsvp because i could not
I got the confirmation mail
When we will be allowed to speak of our current projects using MongoDB, will we be allowed to share and present our laptop screen? Or we can just speak on it?
Oh ok cool. Not a problem, Thanks for the response…
Completely up to you and what you want to talk about. We have the facility to help you connect your laptop and share screen as well ![]()
Yes, I RSVP’d the day the event was posted.
I guess you got late for RSVP, it’s now full. ![]()
They might have more events in upcoming months, stay active in the forum for those. ![]()
Could you please tell what’s the nearest metro station to the MongoDB office?
Thankyou.
-
Take the Yellow Line metro towards the Huda City Centre metro station.
-
Get down at Sikandarpur Metro station.
-
Take Rapid Metro from Sikandarpur Metro towards Indusind Cyber City Rapid Metro station.
Has confirmation mail sent to everyone??
All questions were solved there and then.
Contributors-
~Mannat Singh
(Mannatwadhwa14@gmail.com)
~Harpreet Singh
(harpreetsingh10414@gmail.com)
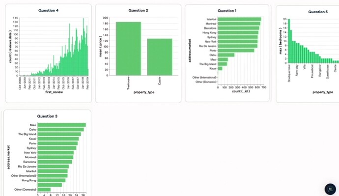
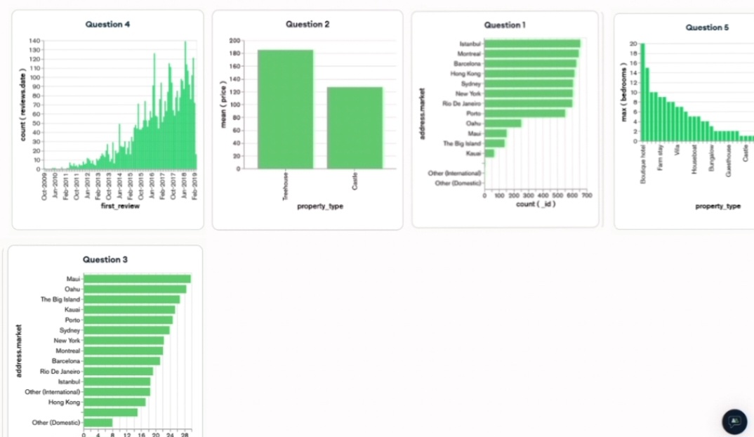
All 5 Questions solved.
- Saujanya Raj (saujanyaraj.07@gmail.com)
It was my first time playing around with MongoDB Charts, though it took me some time to figure out things but I really learned a lot! Thanks a lot for this exercise
Also after attending today’s session on Sharding, I made a twitter thread on it. Do check it out! ![]()
https://twitter.com/Saujanyar07/status/1664990544618029060?s=20







